在鋰電(dian)池工業(ye)生(sheng)產上(shang),模(mo)頭擠(ji)壓(ya)涂布(bu)(bu)由于高(gao)精(jing)度、寬涂布(bu)(bu)窗口、高(gao)可靠(kao)性等優點成為應用(yong)最廣泛的涂布(bu)(bu)方式。如圖(tu)1所(suo)示,漿(jiang)料(liao)由(you)(you)精確的進料(liao)系統(tong)(如(ru)螺(luo)桿(gan)泵(beng))提(ti)供,進入模(mo)頭內部型腔,在涂層(ceng)寬度方向均勻分(fen)布,最后漿(jiang)料(liao)受擠壓通過模(mo)頭狹(xia)縫,在移(yi)動的基(ji)材上形成涂層(ceng)。由(you)(you)于(yu)漿(jiang)料(liao)流(liu)體特性(xing),在涂層(ceng)起(qi)始點(dian)、終止(zhi)點(dian)以及兩側邊緣容易形成如(ru)圖1中所(suo)示(shi)半月形(xing)(xing)特征。涂布工藝(yi)中,極(ji)片(pian)邊(bian)緣出現(xian)的(de)這種厚度(du)突增的(de)形(xing)(xing)貌被稱(cheng)為“厚邊”現象。

圖1 擠壓涂布(bu)示意圖
根據(ju)電池的結構(gou)設(she)計和對應的工(gong)藝設(she)計,鋰(li)電池極(ji)片涂布工(gong)藝可分為連續涂布和間歇涂布,如圖2所示,連續涂布(bu)中,對電(dian)池(chi)性(xing)能和工(gong)藝(yi)有影響(xiang)的(de)厚邊(bian)問題主(zhu)要(yao)在涂層兩側邊(bian)緣(yuan),而對于間隙涂布(bu),除了兩側邊(bian)緣(yuan),涂層的(de)起始和結束邊(bian)緣(yuan)(頭尾)同樣可能存在這(zhe)種厚邊(bian)情況。這(zhe)種厚邊(bian)現(xian)象(xiang)是不期望(wang)出現(xian)的(de),并會(hui)對電(dian)池(chi)的(de)工(gong)藝(yi)過程和電(dian)池(chi)性(xing)能和一致性(xing)產生問題。

圖(tu)2 連續涂布和間歇涂布方(fang)式結構示(shi)意圖
厚邊現象的危害
不(bu)管是(shi)連(lian)續涂布(bu)還是(shi)間歇涂布(bu)(如(ru)圖2所(suo)示),這(zhe)種半月形形貌特(te)征都(dou)會(hui)嚴(yan)重(zhong)影(ying)響(xiang)涂(tu)層的均勻(yun)性。一般地,涂(tu)層邊(bian)緣(yuan)(yuan)厚度(du)(du)比正常區域厚幾(ji)微米至十幾(ji)微米,在涂(tu)布干燥后收(shou)(shou)卷(juan)(juan)(juan)時,成百上千(qian)層極(ji)(ji)片收(shou)(shou)成一卷(juan)(juan)(juan),涂(tu)層側(ce)面邊(bian)緣(yuan)(yuan)厚度(du)(du)凸起(qi)線(xian)累積成幾(ji)毫米,導致極(ji)(ji)卷(juan)(juan)(juan)產生鼓邊(bian)現(xian)象,嚴(yan)重(zhong)時會(hui)造(zao)成極(ji)(ji)片斷裂,這(zhe)嚴(yan)重(zhong)影(ying)響(xiang)涂(tu)布收(shou)(shou)卷(juan)(juan)(juan)整齊度(du)(du)及其(qi)后續工序(xu)。
這種厚(hou)邊(bian)情況也會(hui)影響(xiang)極(ji)片的(de)(de)輥(gun)(gun)壓工藝(yi),由于邊(bian)緣厚(hou)度較中(zhong)間(jian)部(bu)位大(da)幾微米或十幾微米,輥(gun)(gun)壓軋輥(gun)(gun)壓力作用(yong)在(zai)極(ji)片上(shang)時,邊(bian)緣厚(hou)度大(da)的(de)(de)區域承受更大(da)的(de)(de)軋制力,從(cong)而導致(zhi)極(ji)片輥(gun)(gun)壓壓實橫向密度不一致(zhi),一方(fang)面這會(hui)造成(cheng)輥(gun)(gun)壓之后的(de)(de)極(ji)片翹曲度更大(da)形(xing)成(cheng)蛇形(xing)極(ji)片,在(zai)后續(xu)的(de)(de)分(fen)條或模切、卷(juan)(juan)繞等工藝(yi)過程(cheng)中(zhong),極(ji)片張力分(fen)布不均衡(heng),極(ji)片收(shou)放卷(juan)(juan)對齊(qi)度無(wu)法(fa)保證,這也會(hui)影響(xiang)極(ji)片加工尺寸,容易出現不良品。
厚邊現(xian)象造成(cheng)的(de)極片厚度(du)、壓(ya)實密度(du)不均(jun)勻同樣(yang)對電(dian)(dian)池(chi)性能有影響,在充(chong)放(fang)電(dian)(dian)過程(cheng)中(zhong),可能出(chu)現(xian)電(dian)(dian)流(liu)分(fen)布不均(jun)勻,更容(rong)易形成(cheng)極化。因此,電(dian)(dian)池(chi)極片在充(chong)放(fang)電(dian)(dian)膨脹、收縮過程(cheng)中(zhong)受(shou)力也不一致,厚邊緣更容(rong)易失(shi)效。
一般(ban)地,3C電池工(gong)藝設計(ji)時,切(qie)除(chu)極片邊(bian)緣(yuan)來消除(chu)這種厚邊(bian)的不利(li)影響。而動力電池要求高功率和高能量,電池設計(ji)往往需要保留涂層(ceng)邊(bian)緣(yuan),因此,厚邊(bian)現象(xiang)更(geng)受關注,Marcel Schmitt等人就研究了涂布工藝參數對連(lian)續涂布兩(liang)側(ce)厚邊(bian)的(de)影響,期望理解和認識產生(sheng)這種情況(kuang)的(de)原因。
厚(hou)邊(bian)現(xian)象的定量描述

圖3 涂層邊緣厚度突增典(dian)型形貌(mao)圖
為了分析(xi)涂(tu)層的邊緣效應,作者引入一(yi)些特征參數(shu)來定量表征涂(tu)層的厚邊現象。如(ru)圖3所示,這是涂(tu)層邊緣厚度突增典型形(xing)貌圖,涂(tu)層中間厚度為H(圖3中H=100μm),而涂層凸起點的厚度為HEdge,無(wu)量(liang)綱厚度H*定義為式(shi)(1):
(1)
理想情(qing)況下,H*等于1,極片涂層邊緣沒有厚邊情(qing)況產生。
公式(2)定義涂層(ceng)厚邊緣的(de)無量綱(gang)寬度(du):
(2)
其(qi)中(zhong),B*為厚邊(bian)緣的無量綱寬度,BEdge 為厚度凸起(qi)的涂(tu)層寬(kuan)度,測量涂(tu)層的厚度,厚度值(zhi)第一次檢測到(dao)為H的(de)105%時的位置定(ding)義為(wei)BEdge 的(de)起(qi)點,繼續橫向測量厚度再(zai)變(bian)為H時位置(zhi)定義為BEdge的終點,如圖3所(suo)示(shi),一般鋰電池涂布(bu)中H*甚至能(neng)達到10以上(shang)。而(er)厚邊涂層(ceng)的梯度(du)R*定義為式(3)::
(3)
其中(zhong),BStep的(de)終點(dian)位置為第一次(ci)檢測極片厚(hou)度為集流體厚(hou)度的(de)105%的位置。
以(yi)上三個無量綱參數用來(lai)定量描述(shu)極片(pian)涂(tu)層厚邊緣的(de)厚度(du)、寬度(du)和(he)梯度(du)特征。
厚邊現象的影響因素
影(ying)響極片涂層厚邊現象產生的(de)因素主(zhu)要有(you)幾個方面:(1)涂(tu)(tu)布(bu)模(mo)頭(tou)的幾何特征(zheng)及涂(tu)(tu)布(bu)工藝參(can)數,模(mo)頭(tou)擠壓涂(tu)(tu)布(bu)流(liu)場示意圖如圖4所(suo)示,模頭幾何參數和涂布工藝參數包(bao)括(kuo)狹(xia)縫尺寸(cun)S、模頭出口(kou)漿料流(liu)量(liang)q、模(mo)頭與涂輥(gun)間隙尺寸G、涂布速度(du)U、涂層濕厚H等;(2)漿(jiang)料(liao)(liao)的性質,特別是漿(jiang)料(liao)(liao)表面張力。

圖(tu)4 模頭擠壓(ya)涂布外流場二維截面示意(yi)圖
(1)涂布(bu)速度的(de)影響
Marcel Schmitt等人(ren)鋰離(li)子(zi)電(dian)池負極(ji)漿料涂(tu)布工藝實驗研究(jiu)發現,涂(tu)布速度對厚邊(bian)的(de)無(wu)量綱厚度和(he)寬度幾乎沒有影響(xiang),而會(hui)影響(xiang)厚邊(bian)的(de)梯度特征R*,當涂布速度增加時,R*相應增加(jia),即(ji)厚邊緣厚度變(bian)化更尖銳,如圖5所示。

圖5 涂布速度與厚邊梯度的關系
(2)涂(tu)布(bu)間隙(xi)的影響
1986年,Dobroth等人(ren)總結了厚邊涂層(ceng)厚度與涂布工(gong)藝的經驗公(gong)式(4):
(4)
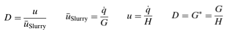
其中,D為漿料拖(tuo)曳力比(bi)值,定義為涂布速度U與漿(jiang)料在出口的平(ping)均速度USlurry比值,具體(ti)可由式(5)計算:
(5)
式中,q為漿料體積流量,H為涂層(ceng)濕厚,G為涂(tu)布間隙。因(yin)此,厚邊(bian)涂(tu)層厚度(du)與無(wu)量綱涂(tu)布間隙G*相關。
圖6為無量綱涂布間隙G*與(yu)厚(hou)邊(bian)無量綱厚(hou)度H*的(de)實驗(yan)數(shu)據圖和公(gong)式預測關(guan)系,根據經驗(yan)公(gong)式,涂(tu)布(bu)間(jian)隙增(zeng)加(jia)(jia)(jia)時厚(hou)邊(bian)(bian)厚(hou)度相應(ying)增(zeng)加(jia)(jia)(jia),但是從實驗(yan)數(shu)據來看相關(guan)性不是特別大。而隨著涂(tu)布(bu)間(jian)隙增(zeng)加(jia)(jia)(jia),厚(hou)邊(bian)(bian)涂(tu)層的(de)寬度增(zeng)加(jia)(jia)(jia),如(ru)圖7所(suo)示。因此,減低涂布間隙是抑制厚邊現(xian)象的一(yi)個有效措施。

圖6 涂(tu)布間隙與厚邊(bian)厚度的關系

圖7 涂布間隙與厚邊寬度的關系
(3)表面張力的影響
另外,漿料(liao)性質(zhi)對厚邊也具有巨大影響,一方(fang)面從(cong)模頭擠壓噴出時,粘(zhan)彈(dan)性(xing)漿料流(liu)體會(hui)發生膨脹,由(you)于受到(dao)模頭(tou)邊(bian)緣(yuan)壁面的(de)額外應力作用(yong),邊(bian)緣(yuan)處漿料膨脹效應更(geng)明顯,從而(er)導(dao)致厚邊(bian)現(xian)象產生。另外,漿料的(de)表面張力作用(yong)下,涂層在干燥過程(cheng)中發生流(liu)延也(ye)會(hui)造成厚邊(bian)現(xian)象。如圖8所(suo)示,涂(tu)層干燥時(shi),各處干燥速度相同(tong),而邊緣(yuan)處溶劑蒸(zheng)發更快些(xie),因此邊緣(yuan)成分變化更快時(shi),如果漿料里面(mian)沒有界(jie)面(mian)活(huo)性(xing)劑等添加劑,或(huo)者(zhe)分散的顆粒懸浮液表(biao)面(mian)張力大于(yu)溶劑的表(biao)面(mian)張力時(shi),漿料向邊緣(yuan)流動,最終導致厚邊現象。

圖8 干燥(zao)過(guo)程(cheng)中厚(hou)邊現象(xiang)產(chan)生(sheng)過(guo)程(cheng)
厚邊現(xian)象的解決措施
涂布(bu)厚(hou)邊現象是(shi)一種不利的缺陷,根據以上實驗結果(guo)和(he)分(fen)析,阻止和(he)緩解厚(hou)邊現象的措施有(you):
(1)漿料(liao)(liao)流量一(yi)定(ding)時,減小狹縫尺寸能夠(gou)增(zeng)加漿料(liao)(liao)在模頭的出口速度(du),從(cong)而降低漿料(liao)(liao)的拖曳力比值D,進而減小厚邊涂層的無量綱厚度H*,但是(shi)狹縫(feng)尺寸變小(xiao)模頭內部的壓力更大(da),更容易造成(cheng)模頭出口形狀(zhuang)的膨脹,從而出現(xian)涂層橫(heng)向厚度(du)不均勻(yun)性,這(zhe)需(xu)要更高精度(du)的涂布(bu)設備配合。
(2)涂布(bu)間(jian)隙G減(jian)小(xiao)能(neng)夠有(you)限(xian)減(jian)小(xiao)厚邊(bian)涂層的厚度和寬度。
(3)降低(di)漿料的(de)表(biao)面張力,如添加界面活性劑、降低(di)粘度等,抑制干(gan)燥過(guo)程中漿料向邊緣的(de)流延。
(4)優化狹縫(feng)墊(dian)片(pian)出口形狀(zhuang),改變漿料流動速(su)度(du)方向(xiang)和(he)大小,降低(di)邊(bian)緣(yuan)(yuan)漿料的應(ying)力狀(zhuang)態,減(jian)弱(ruo)漿料邊(bian)緣(yuan)(yuan)膨脹(zhang)效應(ying)。